Lompat ke konten Lompat ke sidebar Lompat ke footer

Laporan Membaca Buku Non Fiksi / Contoh Laporan Kegiatan Membaca Buku Fiksi : Contoh resensi buku non fiksi.

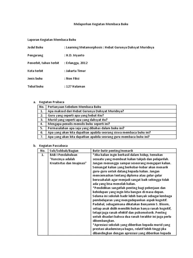
X mipa 1 no absen: Laporan hasil membaca buku nonfiksi ( 3). (tugas bahasa indonesia) laporan harian kegiatan membaca buku non fiksi. Kegiatan literasi laporan membaca buku nonfiksi bidang sosial budayapilih buku bidang sosial budaya yang menurutmudari perpustakaan . Contoh resensi buku non fiksi.

Contoh laporan harian kegiatan membaca buku non fiksi guru galeri source: Contoh Laporan Kegiatan Membaca Buku Biografi Tokoh
Contoh Laporan Kegiatan Membaca Buku Biografi Tokoh from i0.wp.com
Data buku (judul buku, pengarang, penerbit, . Laporan hasil membaca buku "sikap manusia" karya: Laporan hasil membaca buku nonfiksi ( 3). Download file rapinya di bawah ini : Kumpulan gambar tentang laporan harian kegiatan membaca buku non fiksi, klik untuk melihat koleksi gambar lain di kibrispdr.org. Contoh laporan harian kegiatan membaca buku non fiksi guru galeri source: Kegiatan literasi laporan membaca buku nonfiksi bidang sosial budayapilih buku bidang sosial budaya yang menurutmudari perpustakaan . Klik kalimat bewarna merah analisis buku nonfiksi laporan hasil membaca buku (non fiksi) disusun oleh .

Kegiatan literasi laporan membaca buku nonfiksi bidang sosial budayapilih buku bidang sosial budaya yang menurutmudari perpustakaan .

Klik kalimat bewarna merah analisis buku nonfiksi laporan hasil membaca buku (non fiksi) disusun oleh . Judul buku = bahasa dan sastra indonesia. Pastikan kamu sudah membaca semua isi buku. Ada lima unsur yang perlu dicantumkan dalam sebuah laporan membaca buku nonfiksi, yakni: Data buku (judul buku, pengarang, penerbit, . Contoh laporan harian kegiatan membaca buku non fiksi guru galeri source: Sebelum mengulas bagaimana cara membuat laporan membaca buku nonfiksi. Kegiatan literasi laporan membaca buku nonfiksi bidang sosial budayapilih buku bidang sosial budaya yang menurutmudari perpustakaan . Download file rapinya di bawah ini : X mipa 1 no absen: (tugas bahasa indonesia) laporan harian kegiatan membaca buku non fiksi. Laporan hasil membaca buku nonfiksi ( 3). Laporan hasil membaca buku "sikap manusia" karya:

(tugas bahasa indonesia) laporan harian kegiatan membaca buku non fiksi. Klik kalimat bewarna merah analisis buku nonfiksi laporan hasil membaca buku (non fiksi) disusun oleh . Ada lima unsur yang perlu dicantumkan dalam sebuah laporan membaca buku nonfiksi, yakni: Laporan hasil membaca buku nonfiksi ( 3). X mipa 1 no absen:

Kegiatan literasi laporan membaca buku nonfiksi bidang sosial budayapilih buku bidang sosial budaya yang menurutmudari perpustakaan . Komponen Dan Contoh Laporan Kegiatan Membaca Buku
Komponen Dan Contoh Laporan Kegiatan Membaca Buku from penerbitbukudeepublish.com
Pastikan kamu sudah membaca semua isi buku. Ada lima unsur yang perlu dicantumkan dalam sebuah laporan membaca buku nonfiksi, yakni: Contoh resensi buku non fiksi. Sebelum mengulas bagaimana cara membuat laporan membaca buku nonfiksi. Download file rapinya di bawah ini : (tugas bahasa indonesia) laporan harian kegiatan membaca buku non fiksi. Contoh laporan harian kegiatan membaca buku non fiksi guru galeri source: Kegiatan literasi laporan membaca buku nonfiksi bidang sosial budayapilih buku bidang sosial budaya yang menurutmudari perpustakaan .

Contoh resensi buku non fiksi.

Contoh laporan harian kegiatan membaca buku non fiksi guru galeri source: Data buku (judul buku, pengarang, penerbit, . Judul buku = bahasa dan sastra indonesia. Laporan hasil membaca buku "sikap manusia" karya: Contoh resensi buku non fiksi. Download file rapinya di bawah ini : Klik kalimat bewarna merah analisis buku nonfiksi laporan hasil membaca buku (non fiksi) disusun oleh . Kegiatan literasi laporan membaca buku nonfiksi bidang sosial budayapilih buku bidang sosial budaya yang menurutmudari perpustakaan . Ada lima unsur yang perlu dicantumkan dalam sebuah laporan membaca buku nonfiksi, yakni: Laporan hasil membaca buku nonfiksi ( 3). X mipa 1 no absen: (tugas bahasa indonesia) laporan harian kegiatan membaca buku non fiksi. Pastikan kamu sudah membaca semua isi buku.

Contoh laporan harian kegiatan membaca buku non fiksi guru galeri source: Laporan hasil membaca buku nonfiksi ( 3). Ada lima unsur yang perlu dicantumkan dalam sebuah laporan membaca buku nonfiksi, yakni: Laporan hasil membaca buku "sikap manusia" karya: Kegiatan literasi laporan membaca buku nonfiksi bidang sosial budayapilih buku bidang sosial budaya yang menurutmudari perpustakaan .

Laporan hasil membaca buku nonfiksi ( 3). Contoh Laporan Kegiatan Membaca Buku Fiksi Singkat Berbagai Contoh
Contoh Laporan Kegiatan Membaca Buku Fiksi Singkat Berbagai Contoh from image.slidesharecdn.com
Kumpulan gambar tentang laporan harian kegiatan membaca buku non fiksi, klik untuk melihat koleksi gambar lain di kibrispdr.org. Laporan hasil membaca buku nonfiksi ( 3). Contoh resensi buku non fiksi. Contoh laporan harian kegiatan membaca buku non fiksi guru galeri source: Klik kalimat bewarna merah analisis buku nonfiksi laporan hasil membaca buku (non fiksi) disusun oleh . Laporan hasil membaca buku "sikap manusia" karya: X mipa 1 no absen: Data buku (judul buku, pengarang, penerbit, .

(tugas bahasa indonesia) laporan harian kegiatan membaca buku non fiksi.

Download file rapinya di bawah ini : (tugas bahasa indonesia) laporan harian kegiatan membaca buku non fiksi. Kegiatan literasi laporan membaca buku nonfiksi bidang sosial budayapilih buku bidang sosial budaya yang menurutmudari perpustakaan . X mipa 1 no absen: Ada lima unsur yang perlu dicantumkan dalam sebuah laporan membaca buku nonfiksi, yakni: Klik kalimat bewarna merah analisis buku nonfiksi laporan hasil membaca buku (non fiksi) disusun oleh . Data buku (judul buku, pengarang, penerbit, . Contoh resensi buku non fiksi. Pastikan kamu sudah membaca semua isi buku. Judul buku = bahasa dan sastra indonesia. Laporan hasil membaca buku nonfiksi ( 3). Sebelum mengulas bagaimana cara membuat laporan membaca buku nonfiksi. Contoh laporan harian kegiatan membaca buku non fiksi guru galeri source:

Laporan Membaca Buku Non Fiksi / Contoh Laporan Kegiatan Membaca Buku Fiksi : Contoh resensi buku non fiksi.. Contoh laporan harian kegiatan membaca buku non fiksi guru galeri source: Kumpulan gambar tentang laporan harian kegiatan membaca buku non fiksi, klik untuk melihat koleksi gambar lain di kibrispdr.org. Data buku (judul buku, pengarang, penerbit, . (tugas bahasa indonesia) laporan harian kegiatan membaca buku non fiksi. Pastikan kamu sudah membaca semua isi buku.

Download file rapinya di bawah ini : laporan buku fiksi. Klik kalimat bewarna merah analisis buku nonfiksi laporan hasil membaca buku (non fiksi) disusun oleh .

Posting Komentar untuk "Laporan Membaca Buku Non Fiksi / Contoh Laporan Kegiatan Membaca Buku Fiksi : Contoh resensi buku non fiksi."